不是VIP会员,不能显示答案,请在后台“我的信息” 在线升级 VIP

一.选择一个正确答案代码(A/B/C/D),填入每题的括号内(每题2 分,每题只有一个正确答案,多选 无分。共30)

1. 我国一位“两院”院士、著名科学家开发汉字激光照排系统并形成产业,取代沿用了上百年的铅字印刷,推动了我国报业和出版业的跨越式发展,被誉为“当代毕昇”。这位科学家是( )

  • A.黄昆
  • B.周以真
  • C.李开复
  • D.王选

2. 2009年我国国防科技大学研制成功千万亿次超级计算机,在国际组织公布的名单中,该计算机位居 超级计算机全球排名前五、亚洲排名第一。该计算机的名字是( )

  • A.)曙光4000
  • B.魔方
  • C.天河一号
  • D.曙光5000

3. 某一数字显示器由7 段发光二极管组成,通过各二极管的亮灭来显示数字。若用“1”表示亮,“0” 表示灭,并按第3 题图1 所示的字母先后顺序(abcdefg)对各二极管的亮灭状态编码,按此编码方法, 题图2中数字“9”所对应的编码是( )

  • A.1111111
  • B.1111011
  • C.1111101
  • D.1111110

4. 在PASCAL 中,“SHL x”命令的作用是将一个数对应 的二进制数各位置上的数字左移x 个位置,末尾新位置用 零补充。如对二进制数(01100011) 执行“SHL1”命令 后的结果就是(11000110) 。则,对十进制数23执行命 令“SHL 2”后结果为( )

  • A.(92)10
  • B.(00101110)
  • C.(101)2
  • D.(25)10

5. 有两台计算机,1 号机屏幕设置分别如第5题图1 题图2所示,则下列说法正确的是( )

  • A.相同模式下1号机桌面显示的图标比2号机大
  • B.相同模式下1号机的颜色数比2号机少
  • C.相同模式下1号机的颜色数比2号机多
  • D.相同模式下1号机桌面显示的图标比2号机小

6. 下列表达式逻辑值为“TRUE”的是( )

  • A.(256)10 <(10000001)
  • B.(256)10 >=(512) 10
  • C.(1111111) >(512)10
  • D.(10000001)2 <(131)10

7. 第7题图所示为某文件的属性窗口,根据该属性窗口显示的信息,下列说法中正确的是()

  • A.该文件是一个经过MPEG3缩技术产生的视频文件
  • B.该文件可以在pascal IDE 环境下打开并编辑
  • C.该文件可以用Realplay 软件进行播放
  • D.该文件可以用ACDSee 软件打开

8. 味味是个有规划意识的小孩,她喜欢每次把 自己花掉的钱记录下来,然后在一年过去之际对 自己的消费情况进行总数、分类等各项统计,以 题图分析自己的消费并反思是否有浪费行为。为了达到这个统计要求,下列软件中,最适合味味应用要求的是( )

  • A.Word
  • B.Photoshop
  • C.Flash
  • D.Excel

9. 下列信息中,最有可能是电子邮箱地址的是( )

  • A.hzjqjc@163.com
  • B.Jsj&cctv.com
  • C.ftp.tinghua.cn
  • D.10.200.0.161

10. 下列操作习惯中,最符合信息安全要求的是( )

  • A.邮箱中有看到来历不明且带有附件的邮件,直接下载并打开附件。
  • B.在把别人优盘中文件复制到自己计算机前,先用金山毒霸软件对优盘进行查杀毒处理。
  • C.把一台联接因特网的计算机中的防火墙程序关闭。
  • D.把自己的数字化资料全部保存在安装操作系统的C 盘上。

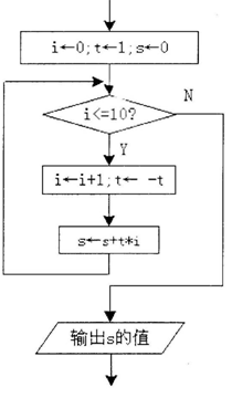
11. 执行下面流程图所示的算法,则输出结果是( )

  • A.55
  • B.5
  • C.-6
  • D.-5

12. 有下列处理步骤: ①输出S的值 ②如果X MOD 2=1 那么使S=”X是奇数” ③输入正整数X ④如果X MOD 2=0 那么使S=”X是偶数” 若要描述判断正整数x为偶数还是奇数的算法,则上述步骤正确的排列顺序是()

  • A.①②③④
  • B.②④③①
  • C.③①②④
  • D.③②④①

13. 在数组a[1]、a[2]、…、a[11]中依次保存了数值“1、3、4、7、19、20、23、31、34、36、37”。现用冒泡排序对数组中数值进行从大到小排序,则排序过程中这些数值两两互换位置的总次数为( )

  • A.11
  • B.66
  • C.55
  • D.45

14. 为了用计算机程序对世博会某检票入口处的检票过程进行处理,则下列数据结构中,最合适进行该 处理的是( )

  • A.二叉树
  • B.队列
  • C.图
  • D.堆栈

15. 在 Word 软件中,采用堆栈来保存我们对于文档的操作行为。在 Word 操作中,我们可以按照堆栈 “后进先出”的原则,通过快捷键“Ctrl+Z”逐个撤销操作效果(按一次撤销一次)。现在在一个新建 Word 文件中的同一行中依次进行下列操作(数字只表示顺序,不列入操作内容),则最后该行保留的文字信息为( ) ①逐个输入文字(不使用词组输入)“绍兴市少儿信息学学” ②按快捷键“Ctrl+Z”一次 ③逐个输入文字“奥奥赛” ④按快捷键“Ctrl+Z”两次

  • A.绍兴市少儿信息学奥
  • B.绍兴市少儿信息学奥赛
  • C.绍兴市少儿信息学
  • D.绍兴市少儿信息学学

二.问题求解:(5+5=10分)

1. 小偷拿着一个容量为20单位体积的背包去偷东西,在他面前有6 件物品可以偷,贪心的小偷当然希望 把所有物品都装入背包偷走以取得最大价值,可背包容量有限,小偷只好选择部分物品装入背包偷走。 现在已知 件东西所占体积和各自对应的价值,(3,6)、(8,12)、(7,11)、(4,10)、(9,17)、(6,13),括号中前面部分表示体积,后央部分表示该物品的价值。小偷选择哪些东西装入背包,使得 背包中所包含的物品总价值之和最大。问:这个最大的总价值是多少?(每件物品都不能被分割)
答案:40

2. 元旦晚会上,全班小朋友在老师组织下玩一个游戏。每人头上都戴着一顶帽子,帽子只有黑红两种, 黑的至少有一顶。每个人都能看到其他人帽子的颜色,却看不到自己的。主持人(老师)先让大家看看 别人头上戴的是什么帽子,然后关灯,如果有人认为自己戴的是黑帽子,就拍一下手。 游戏开始了。第一次关灯,没有声音。于是再开灯,大家再看一遍,关灯时仍然鸦雀无声。一直到 第三次关灯,才有噼噼啪啪的拍手声音响起。问至少有多少人戴着黑帽子?
答案:3

三.阅读程序并写出运行结果(8+8+8+8=32分)

1.

program test_1001 ;
var x,y,t:integer;
begin
  x:=2010; y:=1020;
  t:=x+y; 
  x:=t-x;
  y:=t-y;
  write(x,' ',y);
end.
输出:1020 2010

2.

program test_1002;
var 
x,y,t:integer; 
begin 
readln(x,y) ; 
if x>y then begin t:=x;x:=y;y:=t;end; 
t:=0; 
repeat 
  y:=y-x;t:=t+1; 
 until y<0; 
 write(’t=’,t-1); 
end.

输入:512  16
输出:t=32

3.

Program test_1003; 
Var 
 N,I,k:integer; 
 Sum,ans,min:integer; 
Begin 
 Readln(n);sum:=0;min:=0; 
 Ans:= -32764; 
 For i:=1 to n do 
 Begin 
  Read(k); 
  Sum:=sum+k; 
  If sum-min>ans then ans:=sum-min; 
  If sum<min then min:=sum; 
 End; 
Writeln(ans); 
End. 
(1) 
输入 
6 
5  -1  0  3  -5  9

(2) 
输入 
15 
5  -1  0  3  -5  9  -10  -7  6  -4  -2  10  -2  -21  18

输出:11|18

4.

Program test_1004; 
Var 
 i,j,n,t,f:integer; 
 a:array[1..100] 

of integer; 
begin 
 readln(n); 
 for i:=1 to n do read(a[i]); 
 for i:=1 to n-1 do 
 begin 
  f:=0; 
  for j:=n downto i-1 do 
   if a[j-1]>a[j] then begin t:=a[j-1];a[j-1]:=a[j];a[j]:=t;f:=1;end; 
  if f=0 then break; 
end; 
 for i:=1 to n do write(a[i],’ ’); 
end. 
输入 
8 
12 1 -2 0 3 -4 7 9
输出:0 0 0 1 3 7 9 12

四.完善程序(根据问题要求和已有程序,在程序空格处填入适当的语句或符号,使程序完整。本题共 10+18=28 分)

1. 【世博会攻略-1】(2+2+2+2+2=10分)
味子很想去游览世博会,可是听说世博会很多展馆需要排队很长时间,她又犹豫了。聪明的她就想用程序来帮助她选择展馆。现在味子已知n个展馆分别需要的排队时间她想从中选出排队时间最少的10个展馆作为候选对象,如果她去世博会,她就会选择这些展馆去参观。
下面就是味子用来选择这10个展馆的程序,请完善该程序。
输入数据第一行只有一个整数n(不超过300),表示总的展馆数量。第二行一共包含n个用空格分隔的整数,依次表示每个展馆可能需要的排队时间,第i个数值表示编号为i的展馆所需要的排队时间。
输出只有一行,包含10个用空格分隔的整数,表示排队时间最少的10个展馆的编号。
输入样例:
15
5 3 9 10 2 3 4 1 6 7 8 11 15 2 12
输出样例
8 5 14 2 6 7 1 9 10 11

program test_1005 
var 
 n,i,j,k,t:integer; 
 a:array[1..300] of integer; 
 b:array[1..300] of integer; 
begin 
 readln( n ); 
 for i:=1 to n do begin read(a[i]);b[i]:=i;end; 
 for i:=1 to 10 do 
 begin 
   k:=i ; 
 For j:=i+1 to n do if a[j]<a[k] then k:=j ; 
 if k<>i then 
 begin 
  t:=b[i];b[i]:=b[k];b[k]:=t; 
  t:=a[i];a[i]:=a[k]; a[k]:=t ; 
 end; 
end; 
 for i:=1 to 10 do write( b[i],’  ’); 
end. 

2. 【世博会攻略-2】(3+3+3+3+3+3=18分)
世博会中,有些展馆虽然不必排队(或者排队时间很短),但没什么可看的;有些展馆虽然排队等候时间很长,但太值得看了(比如,我们的中国馆)。
味子是个喜欢保质保量的人,她现在有12 小时的游览时间,她希望在这12 小时中游览4 个展馆(为 方便,我们不计味子在各展馆之间走路和游览的时间),但这 个展馆不能是没什么可看的。于是,她收集了每个展馆需要排队的时间,为每个展馆设定了可看指数(指数越高越值得看)。现在她想统计一 下12 小时内分别可以游览哪4 个展馆,这4 个展馆必须满足下列条件:
(1) 4 个展馆的排队时间总和不能超过12小时
(2) 这4个展馆的可看指数总和不能小于10。
(3) 任何一个展馆的可看指数都必须不小于2。
满足上述条件的每4 个展馆称为一组(展馆编号相同但顺序不同的情况视为相同。比如,“1、3、5、 6”和:“5、6、1、3”我们认为是同一种方案),味子用下列程序用来统计满足条件的组数,请完善程。
输入数据第一行只有一个整数n(n<=300),表示总的展馆数量。第二行有n个用空格分隔的整数, 依次表示每个展馆的排队时间。第三行有n 个用空格分隔的整数,表示每个展馆的可看指数。
输出数据第一行只有一个整数ans,表示满足条件的方案总数。接下来共有ans 行,每行表示满足条 件的一组展馆的编号。
输入样例 1:
12
6 4 2 5 1 0 3 2 4 4 3 5
5 2 1 4 1 1 2 2 3 4 1 2
输出样例1:
0 //表示没有任何4个展馆满足条件

输入样例2:
8
4 3 2 3 1 0 3 2
5 2 1 4 1 1 2 2
输出样例2:
4
1 2 4 8
1 2 7 8
1 4 7 8
2 4 7 8

//编号为“1、2、4、8”等4组展馆满足条件

program test_1006; 
var 
 n,i,j,ans:integer; 
 a,p:array[1..300] of integer; 
 f:array[1..100,1..4] of integer; 
 
procedure init; 
var i,j:integer; 
begin 
 readln(n); 
 for i:=1 to n do read(a[i]); 
 readln; 
 for i:=1 to n do read( p[i] ); 
for i:=1 to 100 do for j:=1 to 4 do f[i,j]:=0; 
ans:=0; 
end; 
 
procedure work; 
var 
 i,j,x1,x2,x3,x4:integer; 
begin 
 for x1:=1 to n-3 do 
  if p[x1]>=2 then begin 
   for x2:=x1+1 to n-2 do 
    if p[x2]>=2 then begin 
   for x3:=x2+1 to n-1 do 
      if p[x3]>=2 then begin 
       for x4:=x3+1 to n do 
        if (p[x4]>=2) and (a[x1]+a[x2]+a[x3]+a[x4]<=12) and ( p[x1]+p[x2]+p[x3]+p[x4]>=10 ) then
     begin 
     inc(ans) ;f[ans,1]:=x1;f[ans,2]:=x2;f[ans,3]:=x3;f[ans,4]:=x4; 
    end; 
end; 
end; 
end; 
end; 
 
procedure out; 
var  
 i,j:integer; 
begin 
 writeln(ans); 
 for i:=1 to  ans  do 
 begin 
  for j:=1 to 4 do write( f[i,j] ,’  ’); 
 writeln; 
 end; 
end; 
 
begin  {main} 
 init; 
 work ; 
out; 
end.