不是VIP会员,不能显示答案,请在后台“我的信息” 在线升级 VIP

一、单项选择题(共10题,每题1.5分,共15分,每题有且仅有一个正确选项。)

1. 1.在二进制下,1100011 +( )= 1110000。

  • A.1011
  • B.1101
  • C.1010
  • D.1111

2. 字符“A”的ASCII码为十六进制41,则字符“Z”的ASCII码为十六进制的( )。

  • A.66
  • B.5A
  • C.50
  • D.视具体的计算机而定

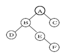
3. 右图是一棵二叉树,它的先序遍历是( )。

  • A.ABDEFC
  • B.DBEFAC
  • C.DFEBCA
  • D.ABCDEF

4. 寄存器是( )的重要组成部分。

  • A.硬盘
  • B.高速缓存
  • C.内存
  • D.中央处理器(CPU)

5. 广度优先搜索时,需要用到的数据结构是( )。

  • A.链表
  • B.队列
  • C.栈
  • D.散列表

6. 在使用高级语言编写程序时,一般提到的“空间复杂度”中的“空间”是指( )。

  • A.程序运行时理论上所占的内存空间
  • B.程序运行时理论上所占的数组空间
  • C.程序运行时理论上所占的硬盘空间
  • D.程序源文件理论上所占的硬盘空间

7. 应用快速排序的分治思想,可以实现一个求第K大数的程序。假定不考虑极端的最坏情况,理论上可以实现的最低的算法时间复杂度为( )。

  • A.O(n2)
  • B.O(n log n)
  • C.O(n)
  • D.O(1)

8. 为解决Web应用中的不兼容问题,保障信息的顺利流通,( )制定了一系列标准,涉及HTML、XML、CSS等,并建议开发者遵循。

  • A.微软
  • B.美国计算机协会(ACM)
  • C.联台国教科文组织
  • D.万维网联盟(W3C)

9. 体育课的铃声响了,同学们都陆续地奔向操场,按老师的要求从高到矮站成一排。每个同学按顺序来到操场时,都从排尾走向排头,找到第一个比自己高的同学,并站在他的后面。这种站队的方法类似于( )算法。

  • A.快速排序
  • B.插入排序
  • C.冒泡排序
  • D.归并排序

10. 1956年( )授予肖克利(William Shockley)、巴丁(John Bardeen)和布拉顿(Walter Brattain),以表彰他们对半导体的研究和晶体管效应的发现。

  • A.诺贝尔物理学奖
  • B.约翰?冯?诺依曼奖
  • C.图灵奖
  • D.高德纳奖(Donald
  • E.Knuth Prize)

二、不定项选择题(共10题,每题1.5分,共15分。每题有一个或多个正确选项。多选或少选均不得分。)

1. 如果根结点的深度记为1,则一棵恰有2011个叶子结点的二叉树的深度可能是( )。

  • A.10
  • B.11
  • C.12
  • D.2011

2. 在布尔逻辑中,逻辑“或”的性质有( )。

  • A.交换律:P V Q = Q V P
  • B.结台律:P V ( Q V R ) = ( P V Q ) V R
  • C.幂等律:P V P = P
  • D.有界律:P V 1 = 1 (1表示逻辑真)

3. 一个正整数在十六进制下有100位,则它在二进制下可能有( )位。

  • A.399
  • B.400
  • C.401
  • D.404

4. 汇编语言( )。

  • A.是一种与具体硬件无关的程序设计语言
  • B.在编写复杂程序时,相对于高级语言而言代码量较大,且不易调试
  • C.可以直接访问寄存器、内存单元、I/O端口
  • D.随着高级语言的诞生,如今已完全被淘汰,不再使用

5. 现有一段文言文,要通过二进制哈夫曼编码进行压缩。简单起见,假设这段文言文只由4个汉字“之”、“乎”、“者”、“也”组成,它们出现的次数分别为700、600、300、400。那么,“也”字的编码长度可能是( )。

  • A.1
  • B.2
  • C.3
  • D.4

6. 生物特征识别,是利用人体本身的生物特征进行身份认证的一种技术。目前,指纹识别、虹膜识别、人脸识别等技术己广泛应用于政府、银行、安全防卫等领域。以下属于生物特征识别技术及其应用的是( )。

  • A.指静脉验证
  • B.步态验证
  • C.ATM机密码验证
  • D.声音验证

7. 对于序列“7、5、1、9、3、6、8、4”,在不改变顺序的情况下,去掉( )会使逆序对的个数减少3。

  • A.7
  • B.5
  • C.3
  • D.6

8. 计算机中的数值信息分为整数和实数(浮点数)。实数之所以能表示很大或者很小的数,是由于使用了( )。

  • A.阶码
  • B.补码
  • C.反码
  • D.较长的尾数

9. 对右图使用Dijkstra算法计算S点到其余各点的最短路径长度时,到B点的距离d[B]初始时赋为8,在算法的执行过程中还会出现的值有( )。

  • A.3
  • B.7
  • C.6
  • D.5

10. 为计算机网络中进行数据交换而建立的规则、标准或约定的集合成为网络协议。下列英文缩写中,( )是网络协议。

  • A.HTTP
  • B.TCP/IP
  • C.FTP
  • D.WWW

三、问题求解(共2题,每题5分,共计10分) 

1. 平面图是可以画在平面上,且它的边仅在顶点上才能相交的简单无向图。4个顶点的平面图至多有6条边,如右图所示。那么,5个顶点的平面图至多有____条边。
答案:9

2. 定义一种字符串操作,一次可以将其中一个元素移到任意位置。举例说明,对于字符串“BCA”,可以将A移到B之前,变成字符串“ABC”。如果要将字符串“DACHEBGIF”变成“ABCDEFGHI”,最少需要____次操作。
答案:4

四、阅读程序写结果(共4题,每题8分,共计32分)

1.

const
	SIZE=100; 
var
	n,i,sum,x:integer;
	A:array[1..SIZE]of integer;
 
begin
	readln(n);
	fillchar(a,sizeof(a),0);
	for i:=1 to n do
	begin
	 read(x);
	 inc(a[x]);
	end;
	i:=0;
	sum:=0;
	while sum<(n div 2 + 1) do
	begin
	 inc(i);
	 sum:=sum+a[i];
	 end;
	 writeln(i);
end.
输入:
11
4 5 6 6 4 3 3 2 3 2 1
输出:3

2.

var
	n:integer;
 
procedure f2(x,y:integer);
forward;

procedure f1(x,y:integer);
begin
	if x<n then
		f2(y,x+y);
	end;
 
	procedure f2(x,y:integer);
	begin
		write(x,’ ‘);
		f1(y,x+y);
	end;
 
	begin
		readln(n);
		f1(0,1);
	end.
输入:30
输出:1 2 5 13 34

3.

const
	v = 100;
var
	visited:array[1..v]of boolean;
	e:array[1..v,1..v]of integer;
	n,m,ans,i,j,a,b,c:integer;
	
	procedure dfs(x,len:integer);
	var
		i:integer;
	begin
		visited[x] := true;
		if len > ans then
			ans:=len;
		for i:=1 to n do
			if (not visited(i)) and(e[x,i] <> -1) then
				dfs(I,len+e[x,i]);
		visited[x] := false;
	end;
 
	begin
		readln(n,m);
		for i:=1 to n do
			for j:=1 to n do
				e[i][j] := -1;
		for i:=1 to m do
		begin
			readln(a,b,c);
			e[a][b]:=c;
			e[b][a]:=c;
		end;
		for i:=1 to n do
			visited[i]:=false;
		ans:=0;
		for i:=1 to n do
			dfs(i,0);
		writeln(ans);
	end.
 
	输入:
	4 6
	1 2 10
	2 3 20
	3 4 30
	4 1 40
	1 3 50
	2 4 60

输出:150

4.

const
	SIZE = 10000;
	LENGTH = 10;
var
	sum : longint;
	n,m,I,j : integer;
	a:array[1..SIZE , 1..LENGTH]of integer;
 
function h(u , v :integer):integer;
var
	ans,i : integer;
begin
	ans:=0;
	for i:=1 to n do
	if a[u][i] <> a[v][i] then
		inc(ans);
	h := ans;
end;
 
begin
	readln(n);
	fillchar(a,sizeof (a),0);
	m:=1;
	repeat
		i := 1;
		while (i <=n) and (a[m][i] =1 ) do
			inc(i);
		if i>n then
			break;
		a[m][i]:=1;
		for j:=i + 1 to n do
			a[m][j] := a[m-1][j];
	until false;
	sum := 0;
	for i := 1 to m do
		for j := 1 to m do
			sum := sum + h(i,j);
		writeln(sum);
end.

输入:7
输出:57344

五、完善程序(第一题,每空2分,第二题,每空3分,共计28分)

1. (大整数开方)输入一个正整数n(1<=n<10^100),试用二分法计算它的平方根的整数部分。

const
	SIZE=200; 
type
	hugeint = record
		len : integer;
		num : array[1..SIZE] of integer;
	end;	//len表示大整数的位数;num[1]表示个位、num[2]表示十位,以此类推(这个注释不是我带鱼灰写的,是原试题带有的)
var
	s : string;
	i : integer;
	target, left, middle, right : hugeint; 
function times(a, b : hugeint) : hugeint;
var
	i, j : integer;
	ans : hugeint;
begin
	fillchar(ans,sizeof(ans),0);
	for i:=1 to a.len do
		for j:=1 to b.len do
    ans.num[i+j-1] :=ans.num[i + j - 1] + a.num[i] * b.num[j];
	for i:=1 to a.len+b.len do
	begin
		ans.num[i + 1] := ans.num[i + 1] + ans.num[i] div 10;
		ans.num[i]:=ans.num[i] mod 10	;	
		if ans.num[a.len + b.len] > 0
			then ans.len := a.len + b.len
			else ans.len := a.len + b.len - 1;
	end;
	times := ans;
end;
 
function add(a,b : hugeint) : hugeint;
	var
		i : integer;
		ans: hugeint;
begin
	fillchar(ans.num,sizeof(ans.num),0);
	if a.len>b.len
		then ans.len := a.len
		else ans.len := b.len;
	for i := 1 to ans.len do
	begin
		ans.num[i]:= ans.num[i]+a.num[i]+b.num[i] ;
		ans.num[i+1] := ans.num[i+1] + ans.num[i] div 10;
		ans.num[i] := ans.num[i] mod 10;
	end;
	if ans.num[ans.len + 1]>0
		then inc(ans.len);
	add := ans;
end;
 
function average(a,b: hugeint) : hugeint;
var
	i : integer;
	ans : hugeint;
begin
	ans := add(a,b);
	for i:= ans.len downto 2 do
	begin
		ans.num[i-1] := ans.num[i-1] + ( ans.num[i] mod 2 ) *10;
		ans.num[i]:=ans.num[i] div 2;
	end;
	ans.num[1]:=ans.num[1] div 2;
	if ans.num[ans.len] = 0
		then dec(ans.len);
	average := ans;
end;
 
function plustwo(a : hugeint) : hugeint;
var
	i : integer;
	ans : hugeint;
begin
	ans := a;
	ans.num[1] := ans.num[1] + 2;
	i:=1;
	while (i <= ans.len) and (ans.num[i] >= 10) do
	begin
		ans.num[i + 1] := ans.num[i + 1] + ans.num[i] div 10;
		ans.num[i] := ans.num[i] mod 10;
		inc(i);
	end;
	if ans.num[ans.len + 1] > 0
		then inc(ans.len) ;
	plustwo := ans;
end;
 
function over(a , b: hugeint) : boolean;
var
	i: integer;
begin
	if ( a.len<b.len ) then
	begin
		over := false;
		exit;
	end;
	if a.len > b.len then
	begin
		over := true;
		exit;
	end;
	for i := a.len downto 1 do
	begin
		if a.num[i] < b.num[i] then
		begin
			over := false;
			exit;
		end;
		if a.num[i] > b.num[i] then
		begin
			over := true;
			exit;
		end;
	end;
	over := false;
end;
 
begin
	readln(s);
	fillchar(target.num,sizeof(target.num),0);
	target.len := length(s);
	for i := 1 to target.len do
		target.num[i] := ord(s[target.len - i +1]) - ord(‘0’) ;
	fillchar(left.num,sizeof(left,num),0);
	left.len:=1;
	left.num[1]:=1;
	right:=target;
	repeat
		middle:=average(left,right);
		if over( times(middle,middle),target )
			then right := middle
			else left := middle;
	until over(plustwo(left),right);
	for i:= left.len downto 1 do
		write(left.num[i]);
	writeln;
end.

2. (笛卡尔树)对于一个给定的两两不等的正整数序列,笛卡尔树是这样的一棵二叉树:首先,它是一个最小堆,即除了根结点外,每个结点的权值都大于父结点的权值;其次,它的中序遍历恰好就是给定的序列。例如,对于序列7、2、12、1、10、5、15、3,下图就是一棵树对应的笛卡尔树。现输入序列的规模n(1<=n<100)和序列的n个元素,试求其对应的笛卡尔树的深度d(根节点深度为1),以及有多少个叶节点的深度为d。

const
	SIZE = 100;
	INFINITY = 1000000;
 
var
	n , maxDeep, num , i : integer;
	a : array[1..SIZE] of integer;
 
procedure solve(left , right , deep : integer);
var
	i,j,min: integer;
begin
	if deep>maxDeep then
	begin
		maxDeep :=deep;
		num := 1;
	end
	else if deep=maxDeep then
	inc(num)	;
	
	min := INFINITY;
	for i := left to right do
		if min > a[i] then
		begin
			min := a[i];
			j:=i ;
		end;
	if left < j then
		solve(left,j-1,deep+1) ;
	if j<right then
	solve(j+1,right,deep+1);
end;
 
begin
	readln(n);
	for i := 1 to n do
		read(a[i]);
	maxDeep:=0;
	solve( 1, n, 1);
	writeln(maxDeep, ‘ ‘, num);
end.